Two-Color Thermography Optimization

A synthetic modeling and optimization framework for selecting channel pairs and optical filters that improve two-color temperature measurements before physical experiments are performed.

Overview

This project explored how to optimize a two-color thermography setup for high-temperature manufacturing applications such as wire-arc additive manufacturing. Instead of relying on repeated trial-and-error experiments, we built a synthetic framework that generates temperature fields, predicts the camera response, reconstructs temperature using the two-color method, and minimizes error between the reconstructed and true fields.

The goal was to determine which channel combinations and filter wavelength ranges provide the most accurate temperature predictions under realistic emissivity behavior and thermal gradients.

Why it matters

Two-color thermography is attractive because it reduces sensitivity to emissivity compared to single-band thermal measurements. However, accuracy still depends strongly on the camera spectral response, selected wavelength bands, and the temperature distribution being measured. This project provides a way to evaluate those design choices computationally before committing to hardware or experiments.

General workflow

  1. Generate a synthetic ground-truth temperature field.
  2. Compute the emitted spectral radiation using Planck’s law.
  3. Pass that radiation through channel sensitivities and candidate optical filters.
  4. Simulate the resulting pixel intensities for each sensor channel.
  5. Apply the two-color ratio method to reconstruct temperature.
  6. Compare reconstructed temperature to the true field using mean squared error.
  7. Optimize the filter bounds and channel pair to minimize reconstruction error.

Core equations

The framework starts from Planck’s law, which describes blackbody spectral emission as a function of wavelength and temperature:

Planck's law
\( E_{\lambda,b}(\lambda,T) = \frac{c_1}{\lambda^5 \left[\exp\left(\frac{c_2}{\lambda T}\right)-1\right]} \)

The simulated signal measured by a channel is computed by integrating the emitted radiation over wavelength, weighted by spectral sensitivity, optical transmission, and emissivity:

Channel signal
\( S_i(T_i,\Delta t) = C_i \Delta t \int_{\lambda} E_{\lambda,b}(\lambda,T_i)\, w_i(\lambda)\, \tau(\lambda)\, \epsilon_i(\lambda,T_i)\, d\lambda \)

The temperature reconstruction uses a ratio between two channels:

Two-color ratio
\( r_{c_1/c_2}(T_i)= \frac{S_{i,c_1}(T_i,\Delta t)}{S_{i,c_2}(T_i,\Delta t)} \)

The optimization minimizes the mean squared error between the true and reconstructed temperature fields:

Objective function
\( \min_{\mathbf{x}} \frac{1}{N}\sum_{i=1}^{N} \left(T_{\mathrm{true},i}-T_{\mathrm{pred},i}(\mathbf{x})\right)^2 \)

Temperature field models

To test the method, we used two levels of synthetic inputs. The first was a simple 1D temperature bar spanning a wide temperature range to isolate calibration behavior. The second used 2D temperature fields based on the Eagar–Tsai moving heat source model, which better represents the spatial gradients expected in welding and additive manufacturing.

Eagar–Tsai model
\( T - T_0 = \frac{q}{2\pi k R} \exp\left(-\frac{v(x-vt)+R}{2a}\right) \)

Figures

Optimization workflow diagram
Optimization workflow used to generate synthetic images, reconstruct temperature, and minimize error.
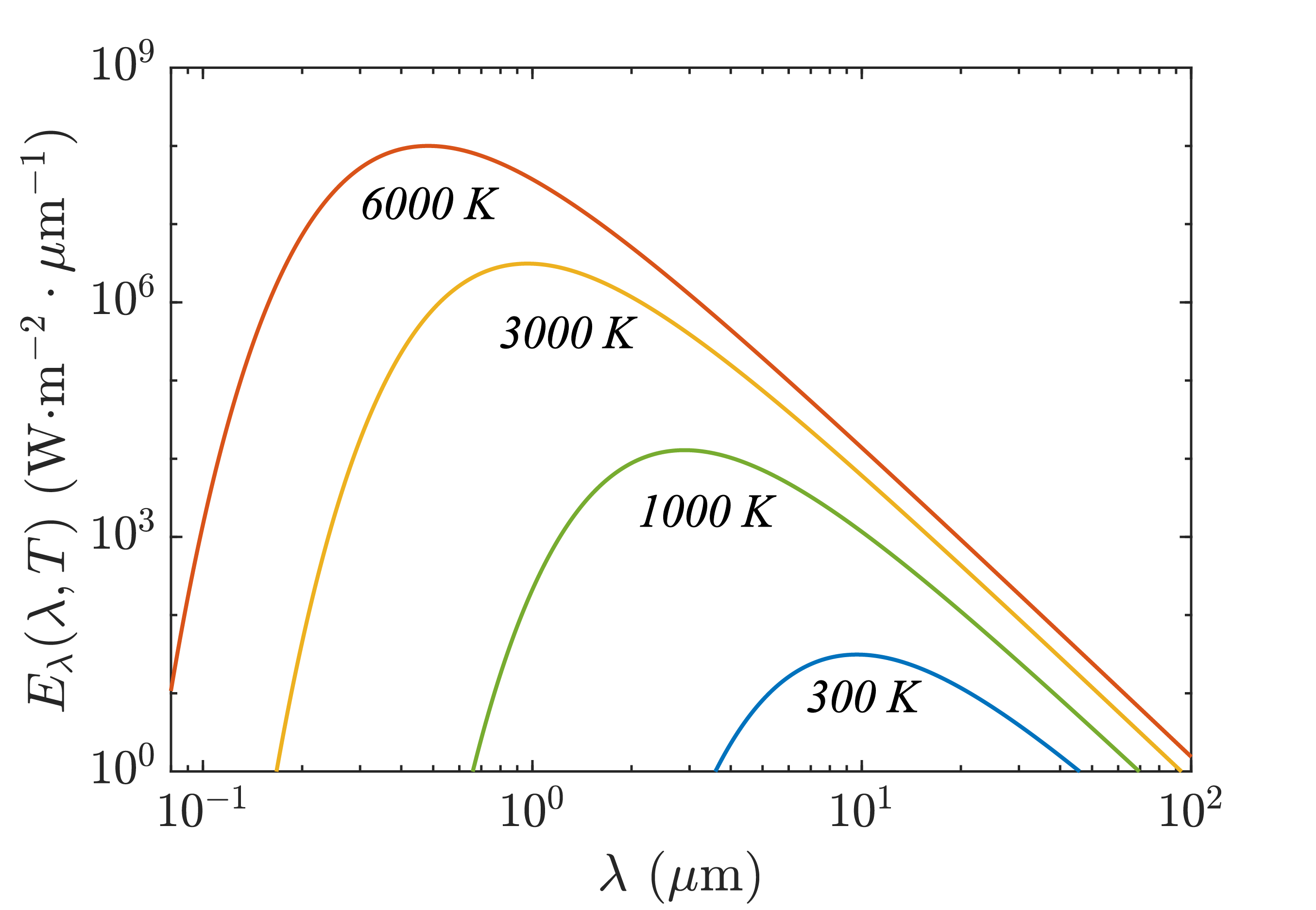
Planck distribution plot
Planck distribution illustrating the wavelength-dependent thermal radiation used as the basis for the forward model.
Color bar and emissivity test
1D color bar test and emissivity function used to evaluate two-color performance over a broad temperature range.
Eagar-Tsai temperature fields
Example 2D temperature fields generated using the Eagar–Tsai model for multiple engineering materials.
Channel pair sensitivity study
Sensitivity of reconstruction error to the selected channel pair, showing that channel choice strongly affects performance.

Key takeaways

  • Filter selection and channel pairing strongly influence two-color accuracy.
  • Synthetic modeling can guide experimental design before hardware testing.
  • Different temperature fields can favor different optimal channel/filter combinations.
  • The framework helps translate camera specifications into actionable design choices for thermal imaging experiments.

My role

I contributed domain expertise in two-color thermography, additive manufacturing applications, synthetic image generation, and experimental framing of the problem.

Credits

This project was completed collaboratively by Gala Solis, Ethan Meitz, and Eddie Beck.

Gala contributed domain knowledge, synthetic image generation, and camera/material inputs. Ethan developed the two-color implementation and optimization framework. Eddie generated synthetic temperature fields and supported the sensitivity analysis. All three contributed to the project concept, formulation, and interpretation of results.